Pathologie - Toxicologie
-
Toxicocinétique - Métabolisme [17]
Le tétrachloroéthylène pénètre préférentiellement par les voies respiratoires où l'absorption est rapide ; il est également bien absorbé, sous forme liquide, par le tractus gastro-intestinal et plus faiblement par la peau. Il s'accumule dans les tissus riches en lipides, est très peu métabolisé, puis excrété essentiellement sous forme inchangée, par les poumons ; une faible excrétion urinaire et fécale de divers métabolites a été montrée chez l'Homme comme chez l'animal.
Chez l'animal
Absorption
Le tétrachloroéthylène est un composé volatil et lipophile. Chez l'animal, il est rapidement et abondamment absorbé par inhalation (fortes concentrations sanguines dès les 2 premières minutes d'exposition, 40 - 50 % de la dose dans les 20 premières minutes chez le rat) et par voie digestive (82 - 95 % chez le rat, pic sanguin après 20 - 40 minutes et 100 % chez le chien, pic sanguin après 15 - 30 minutes). La quantité absorbée n'est pas proportionnelle à la dose ; après 2 heures d'exposition, la charge corporelle, chez le rat, est de 80 mg/kg à 500 ppm et 11 mg/kg à 50 ppm [18].
L'absorption cutanée du tétrachloroéthylène liquide a été montrée in vitro et chez l'animal ; le taux de pénétration, plus faible que celui des autres solvants, est de 0,24mg/cm2/h in vivo chez la souris, et, in vitro, de 0,05 mg/cm2/h à travers la peau de rat et 0,018 mg/cm2/h à travers la peau humaine [19].
Le taux d'absorption de tétrachloroéthylène sous forme vapeur augmente de façon linéaire avec la durée d'exposition, et la quantité absorbée, à l'équilibre, est proportionnelle à la concentration[1], mais reste inférieure à 10 % de l'absorption pulmonaire.
Distribution
Le tétrachloroéthylène se distribue largement dans tout l'organisme (cerveau > foie > reins, cœur > poumons, muscles > sang) et se dépose préférentiellement dans le tissu adipeux périrénal (env. 10 fois la concentration du cerveau et 35 fois la concentration sanguine). Il passe dans le lait maternel, traverse les barrières méningée et placentaire et pénètre dans le fœtus où il se distribue dans le sang et le foie ; une localisation spécifique dans le liquide cérébrospinal a été montrée chez le fœtus de souris dès 1 heure après l'exposition.
Les demi-vies d'élimination chez le rat vont de 322 minutes dans le sang à 578 minutes dans le tissu adipeux. Le pic de concentration dans les tissus est atteint en 1 - 1,5 heures (pour une exposition de 2 heures), sauf dans le tissu adipeux où il est atteint à la fin de l'exposition.
La distribution est identique chez le rat et le chien exposés par voie orale ; les demi-vies d'élimination sanguine du rat sont de 8 heures pour 3 mg/kg et 15,5 heures pour 10 mg/kg ; chez le chien, l'élimination est plus lente [20].
Métabolisme
Une quantité relativement faible du tétrachloroéthylène absorbé est métabolisée ; cette fraction diminue quand la dose augmente suite à un métabolisme saturable. Les taux maximaux mesurés chez la souris sont de 25 % à faible dose (20 mg/kg) et 5 % à forte dose (2 000 mg/kg).
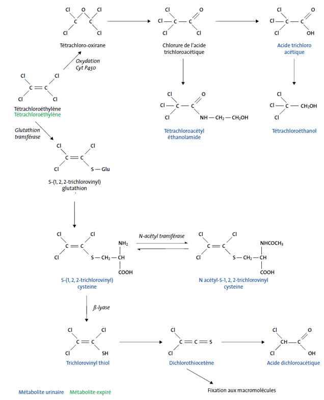
La figure 1 montre le schéma métabolique du tétrachloroéthylène.
La voie oxydative (enzymes à cytochrome P450) est une voie prépondérante mais saturable : l'excrétion d'acide trichloroacétique (TCA) atteint un plateau à forte dose, alors que les excrétions de N-acétyl-S-trichlorovinyl cystéine (TCVC) dans l'urine et de tétrachloroéthylène dans l'air expiré augmentent à forte dose.
Chez l'animal, d'autres métabolites que le TCA ont été identifiés, parmi lesquels l'acide oxalique (18,7 et 6 % pour une exposition à 10 et 600 ppm chez le rat) et un conjugué N-acétylcystéine (plus important chez le rat que chez la souris et plus élevé après exposition par gavage que par inhalation) qui est mineur aux faibles doses et apparaît après saturation de la voie du cytochrome P 450.
Schéma métabolique

Figure 1. Schéma métabolique du tétrachloroéthylène
Excrétion
La voie primaire d'élimination du tétrachloroéthylène est l'air expiré quelle que soit la voie d'exposition.
Chez l'animal, la voie d'excrétion et les métabolites sont fonction de l'espèce et de la concentration d'exposition. Le rat, selon la concentration d'exposition (10 ou 600 ppm, 6 heures), exhale respectivement 68 ou 88 % de tétrachloroéthylène inchangé et 4 ou 1 % de CO2 ; 19 ou 6 % de la dose absorbée sont excrétés sous forme de métabolites dans l'urine, 5 ou 3 % dans les fèces et 4 ou 2 % sont retrouvés dans la carcasse après 72 heures. La souris excrète plus de métabolites urinaires que le rat (85 % contre 33 % pour une même exposition à faible concentration) dont 52 % d'acide trichloroacétique ; des traces d'acide dichloroacétique sont également émises. L'excrétion pulmonaire de tétrachloroéthylène est monophasique avec une demi-vie de 7 heures. Le tétrachloroéthylène est également excrété dans le lait maternel ; 24 heures après exposition des rates à 600 ppm pendant 2 heures, environ 5 % de la concentration inhalée est transférée aux petits [21].
Chez l'Homme
Comme chez l'animal, le tétrachloroéthylène est bien et rapidement absorbé par les poumons ; la quantité absorbée est en relation directe avec le volume respiratoire, d'où une absorption plus importante en cas d'exercice qu'au repos. À faible concentration (0,8 - 35 ppm), le taux de tétrachloroéthylène dans l'air alvéolaire, le sang et l'urine est en corrélation avec la concentration dans l'air [21]. Le tétrachloroéthylène est également absorbé par la peau : un pic de concentration dans l'air expiré est atteint immédiatement après avoir trempé le pouce dans du tétrachloroéthylène pendant 40 minutes. L'absorption cutanée de vapeurs ne dépasse pas 1 % de la quantité absorbée par inhalation. Le coefficient de perméabilité a été calculé à 0,054 cm/h, avec une absorption représentant 0,3 % de l'absorption par voie inhalatoire [23]. L'absorption orale n'a pas été quantifiée, mais une concentration de 21,5 pg/mL de tétrachloroéthylène a été mesurée dans le sang d'un enfant 1 heure après ingestion d'environ 12 à 16 grammes.
Le tétrachloroéthylène se distribue largement et passe dans le lait maternel. Seul un faible pourcentage de la substance absorbée est métabolisé (< 2 %) et excrété dans l'urine 67 heures après une exposition de 3 heures à 87 ppm. Le tétrachloroéthylène non métabolisé est éliminé dans l'air expiré (80 % de la concentration absorbée). La demi-vie d'élimination totale a été estimée à 6 - 10 jours après une exposition. Après plusieurs expositions, une accumulation est possible dans les tissus adipeux ; le rapport de concentration tissus adipeux/sang a été estimé à 90/1.
Mode d'actions
Les effets toxiques du tétrachloroéthylène sont liés à sa nature lipophile, en particulier, l'altération des taux de phospholipides et d'acides aminés cérébraux pourrait être responsable des effets neurotoxiques.
Contrairement aux effets neurotoxiques dus au tétrachloroéthylène lui-même, les effets hépatiques, chez les rongeurs, seraient imputables à l'acide trichloroacétique (TCA) qui induit la prolifération des peroxysomes menant à l'apparition de cancers. La voie métabolique menant au TCA est saturable et seule la souris a la capacité d'en produire suffisamment pour induire des tumeurs.
Les effets rénaux, observés chez le rat mâle uniquement, seraient imputables au conjugué trichlorovinylcystéine activé par une β-Iyase rénale et à la formation d'α2u-globuline spécifique.
Toxicité expérimentale [1, 24]Toxicité aiguë
Le tétrachloroéthylène est faiblement toxique quelle que soit la voie d'exposition. La cible principale est le système nerveux central ; cet effet est accompagné d'une hépatotoxicité et/ou néphrotoxicité selon l'espèce.
Dans toutes les espèces étudiées (rat, souris, lapin, chien), on observe principalement des signes traduisant une dépression du système nerveux central (hypotonie, somnolence, ataxie, tremblements, mort par perte de conscience et arrêt respiratoire).
Des effets sur le foie (augmentation des triglycérides et des lipides totaux, dégénérescence graisseuse centrolobulaire, vacuolisation hépatocellulaire à partir de 200 ppm/4 h et induction de la prolifération des peroxysomes à 1 000 mg/kg par gavage pendant 10 jours) ont été observés essentiellement chez la souris. Le rat, exposé à des doses semblables, ne présente que des modifications hépatiques mineures (augmentation de poids du foie et induction des enzymes du métabolisme des xénobiotiques à 1 000 mg/kg par gavage pendant 5 jours).
Une néphrotoxicité est observée chez le rat mâle (gouttelettes hyalines dans le tube proximal et induction de l'α2u-globuline à 1 000 mg/kg pendant 10 jours) et le cobaye (augmentation de poids des reins et gonflement de l'épithélium tubulaire, 2 500 ppm pendant 7 heures, 18 expositions).
Une sensibilisation cardiaque à l'effet arythmique de la noradrénaline est obtenue chez le lapin (5 200 ppm, 1 heure) mais pas chez le chien (5 000 - 10 000 ppm, 10 minutes).
Le tétrachloroéthylène est un irritant du système respiratoire chez le chien (10 000 ppm, 10 minutes) et chez la souris (300 ppm, 6 h/j pendant 5 jours) avec dégénérescence de l'épithélium olfactif, mais pas chez le rat (10 000 ppm, 25 minutes) où il provoque une augmentation de la fréquence respiratoire attribuée à un effet systémique sur le système nerveux central.
C'est un irritant sévère de la peau (érythème sévère, non réversible en 16 jours, à 0,5 mL de substance pure pendant 4 heures sous occlusion ; nécrose à 1 300 mg/kg pendant 24 heures) et un faible irritant oculaire pour le lapin. Il ne serait pas sensibilisant pour le cobaye (test non conclusif).
Voie
Espèce
CL50 / DL50
Inhalatoire
Rat
Souris
4 100 - 5 000 ppm (6 h)
3 000 ppm (6 h) / 5 200 ppm (4 h)
Orale
Rat
Souris
2 600 - 4 500 mg/kg
7 800 mg/kg
Cutanée
Rat
Souris
Lapin
10 000 mg/kg
5 000 mg/kg
> 10 000 mg/kg
Tableau 1. CL50 / DL50 du tétrachloroéthylène
Toxicité subchronique, chronique
Les organes cibles, après exposition prolongée au tétrachloroéthylène, sont le foie et les reins.
Chez le rat et la souris, des expositions par inhalation à forte concentration (≥ 1 600 ppm, 6 h/j, 5 j/semaine pendant 13 semaines) provoquent létalité, dépression du système nerveux central, perte de poids et congestion pulmonaire.
À des concentrations inférieures, on observe des effets sur :
- les reins : augmentation de l'incidence des caryomégalies et cytomégalies des cellules tubaires (≥ 200 ppm, 13 semaines) plus importantes chez le mâle que chez la femelle, formation de gouttelettes hyalines chez le rat mâle (1 000 ppm, 10 jours) associées à une glomérulonéphrite chronique progressive. Cet effet est spécifique du rat mâle et non transposable à l'Homme. Une LOAEC est établie pour les effets rénaux à 200 ppm chez le rat et 100 ppm chez la souris ;
- le foie (chez la souris uniquement) : vacuolisation graisseuse (≥ 875 ppm, 2 semaines), infiltration leucocytaire, nécrose centrolobulaire et stase biliaire (≥ 400 ppm, 13 semaines), dégénérescence graisseuse (200 ppm, 1 à 8 semaines). Tous ces effets apparaissent lors d'une exposition prolongée à 100 ppm pendant 2 ans. La toxicité hépatique serait liée à la prolifération des peroxysomes, mise en évidence lors d'expositions à des concentrations ≥ 200 ppm pendant 2 ans, et à la formation d'adduits protéiniques trichloroacétyles (120 ppm, 6 semaines).
Les effets d'une exposition par voie orale sont identiques :
- létalité (≥ 1 780 mg/kg/j, 6 semaines) ;
- perte de poids (≥ 1 000 mg/kg/j, 11 jours) ;
- modifications rénales : dégénérescence du tube contourné proximal avec hypertrophie cellulaire, dégénérescence graisseuse et nécrose ; la LOAEL pour la néphrotoxicité est 470 mg/kg/j chez le rat et 390 mg/kg/j chez la souris pendant 78 semaines ;
- modifications hépatiques chez la souris uniquement : augmentation de poids, hypertrophie cellulaire, dégénérescence et nécrose (≥ 100 mg/kg/j pendant 6 semaines) en liaison avec une prolifération des peroxysomes. Une NOAEL de 20 mg/kg/j a été établie pour cet effet.
Le tétrachloroéthylène a un effet dépresseur sur le système nerveux central du rat, du lapin et du cobaye après exposition à de fortes concentrations atmosphériques ; une NOAEL de 400 ppm pendant 6 mois a été retenue pour ces espèces, ainsi que pour le singe rhésus. Les effets sur le système nerveux central sont rapidement réversibles et une tolérance se développe lors d'expositions répétées.
Effets génotoxiques
Le tétrachloroéthylène n'est pas génotoxique dans les tests pratiqués in vitro ou in vivo ; les quelques résultats douteux ont été obtenus avec une substance impure.
In vitro, le tétrachloroéthylène, liquide ou vapeur, n'est pas mutagène dans les tests pratiqués sur bactéries (Salmonella typhimurium et Escherichia coli), levures ou cellules de lymphome de souris, avec ou sans activation métabolique. Il n'induit pas d'aberration chromosomique ni d'échange entre chromatides sœurs dans les cellules ovariennes de hamster chinois et ne provoque pas la synthèse non programmée de l'ADN dans les lymphocytes humains, les cellules humaines WI-38 en culture ou les hépatocytes de souris ou de rat ; il ne déclenche pas la transformation cellulaire des cellules BALB/c 3T3 ou BHK21/C13.
Des résultats faiblement positifs ou équivoques ont été obtenus dans quelques tests avec du tétrachloroéthylène technique et commercial ; la présence de stabilisants mutagènes dans les échantillons testés peut en être la cause. Quelques résultats positifs ont été obtenus avec des concentrations toxiques pour l'organisme ou la cellule et aucun effet dose n'a été établi.
In vivo, la majorité des tests sont négatifs (mutation génique et lésion chromosomique chez la drosophile, et aberration chromosomique chez le rat et la souris, létalité dominante chez le rat, lésions non programmées de l'ADN dans les cellules rénales du rat et modification de la morphologie spermatique chez le rat, le hamster chinois et la souris) ; quelques résultats douteux sont obtenus avec des substances non pures.
Effets cancérogènes
Le tétrachloroéthylène est essentiellement un cancérogène hépatique pour la souris, après exposition par voie orale ou inhalatoire ; il est faiblement tumorigène rénal pour le rat mâle et sanguin (leucémies) pour le rat des deux sexes.
Par voie orale, le tétrachloroéthylène induit des carcinomes hépatocellulaires chez 40 à 65 % des souris exposées (386 - 1 072 mg/kg/j, 5 j/sem., 78 semaines) et une néphropathie toxique chez 50 à 85 % des rats (475 et 950 mg/kg/j, 5 j/sem., 78 semaines) sans augmentation du taux de tumeurs.
Par inhalation chez la souris (0 - 100 - 200 ppm, 6 h/j, 5 j/sem., 103 semaines), il provoque l'apparition d'adénomes (mâles) et de carcinomes hépatocellulaires (deux sexes). Chez le rat mâle (0 - 200 - 400 ppm, 6 h/j, 5 j/sem., 103 semaines), il induit, à la forte concentration, une augmentation, statistiquement non significative mais supérieure aux témoins historiques, des adénomes et adénocarcinomes des cellules du tube rénal.
Par voie cutanée, chez la souris (18 ou 54 mg sur la peau du dos, 3 fois/sem., au moins 440 jours), il n'est ni inducteur ni initiateur (promotion par l'acétate de tétradécanoylphorbol) de tumeur cutanée ou d'un autre site.
- Mécanisme d'action des effets cancérogènes
Chez la souris, l'induction de tumeurs hépatiques serait imputable au métabolite du tétrachloroéthylène, l'acide trichloroacétique (TCA) qui, lui-même, est un cancérogène hépatique chez les rongeurs. Le TCA est un inducteur de la prolifération des peroxysomes, mécanisme non génotoxique, commun à de nombreux cancérogènes hépatiques du rongeur et non transposable à l'Homme. Les différences, entre les espèces, de métabolisme et de taux de formation du TCA, expliquerait le manque de tumorigénicité hépatique dans d'autres espèces que la souris.
Les tumeurs rénales chez le rat pourraient être dues à une néphropathie chronique induite par l'α2u-microglobuline. Ce mécanisme, spécifique du rat mâle, induit à forte concentration et non transposable à l'Homme, ne serait pas seul en cause. Un métabolite réactif (dichlorothiocétène), formé dans le rein par conjugaison avec le glutathion, se fixerait aux macromolécules cellulaires et induirait génotoxicité et cytotoxicité. Bien que la voie métabolique qui mène à ce métabolite réactif soit 40 fois moins active chez l'Homme que chez le rat, on ne peut écarter cette possibilité.
Effets sur la reproduction
Le tétrachloroéthylène n'a pas d'effet sur la fertilité du rat ou de la souris ; il induit des retards de développement même en l’absence de toxicité maternelle.
Il n'est pas observé d'effet sur la fertilité ou les performances reproductrices du rat mâle ou femelle dans une expérience sur 2 générations (100 - 300 - 1 000 ppm). À la plus forte concentration, le tétrachloroéthylène induit une baisse de la prise de poids des parents, des modifications histologiques rénales et une diminution de poids des testicules uniquement chez les parents de la première génération. Les effets observés à 1 000 ppm (baisse de la taille des portées, de la survie et du poids des petits) sont considérés comme une conséquence de la toxicité maternelle. La NOAEL est de 1 000 ppm pour la fertilité et 100 ppm pour la toxicité parentale.
De nombreuses études d'effet sur le développement ont été menées sur le rat, la souris, le lapin et le poulet à des concentrations de 65 à 1 000 ppm. Des effets variables sont observés sur les mères et les fœtus :
- à 250 ppm, un léger retard de développement sans toxicité maternelle chez le rat ;
- à 300 ppm, une augmentation des résorptions associée à une légère toxicité maternelle chez le rat et un retard de développement sans toxicité maternelle chez la souris ;
- à 500 ppm, en revanche, toxicité maternelle mais pas de toxicité du développement chez le rat et le lapin ;
- à 1 000 ppm, diminution de taille de la portée, du poids des petits et de leur survie associée à une toxicité maternelle significative.
La NOAEC pour la toxicité du développement est de 100 ppm.
Toxicité sur l’HommeLe tétrachloroéthylène induit des effets neurologiques lors d’expositions aiguës ou chroniques. Il est irritant pour la peau et les muqueuses en cas d’exposition chronique. Il est peu hépatotoxique. Plusieurs études ont montré ses effets cancérogènes sur divers organes chez l’Homme. Sa toxicité pour la reproduction fait encore l’objet de discussion.
Toxicité aiguë [1, 7, 25]
Par inhalation, les intoxications aiguës se manifestent essentiellement par une dépression du système nerveux central de type anesthésique. L'effet narcotique est net après plusieurs minutes d'exposition à des concentrations de plus de 1 000 ppm ; il se traduit par une ébriété et une somnolence. À très forte concentration, peut survenir un coma parfois accompagné de troubles respiratoires et d'arythmie cardiaque. Quelques cas d'hépatite (cytolytique infraclinique) et d'atteinte rénale ont été décrits. Des cas mortels ont été attribués à une dépression du système nerveux central.
L'inhalation de concentrations atmosphériques moins élevées (100 à 1 000 ppm) est à l'origine de céphalées, de sensations vertigineuses, de troubles de la coordination motrice, d'irritation oculaire et des voies aériennes supérieures (rhinite, irritation laryngo-pharyngée) et de nausées.
L'ingestion est marquée par l'apparition de troubles digestifs (nausées, vomissements, douleurs abdominales et diarrhées) et peut provoquer, outre une dépression du système nerveux central, une pneumopathie de déglutition avec toux et surinfections broncho-pulmonaires parfois gravissimes ; on peut observer des séquelles pulmonaires. Elle serait également responsable d'effets sur le foie (cytolyse) et les reins (protéinurie, hématurie). La réversibilité de ces troubles est le plus souvent obtenue, parfois après plusieurs mois, mais quelques cas mortels sont rapportés.
Des brûlures cutanées avec phlyctènes peuvent apparaître après un contact massif et prolongé avec ce solvant. Dans les mêmes circonstances, des lésions oculaires graves peuvent être observées.
Toxicité chronique [7, 26, 27]
En cas d'exposition chronique, le tétrachloroéthylène partage avec les autres solvants chlorés les risques de dermatose orthoergique et d'irritation oculaire.
Bien que peu hépatotoxique en cas d'exposition prolongée (plus de 10 ans) et répétée à faibles concentrations atmosphériques, il peut être responsable d'induction enzymatique, se traduisant notamment par une élévation modérée des y-GT ou des anomalies de structure à l'échographie par ultrasons.
Certaines études ont également pu mettre en évidence des affections respiratoires, de l'estomac et du duodénum chez des sujets exposés au tétrachloroéthylène.
Sur le plan neurologique, l'exposition à 100 ppm pendant 7 heures entraîne des troubles de l'équilibre, avec céphalées, discrète somnolence et difficultés d'élocution. Des phénomènes d'accoutumance peuvent s'observer.
Enfin le tétrachloroéthylène ainsi que de multiples solvants organiques peuvent entraîner à long terme des troubles psychiques se traduisant par un défaut de concentration, des troubles de mémoire, des altérations de l'humeur. Ce syndrome psycho-organique, qui peut évoluer vers un état démentiel, doit faire l'objet d'un diagnostic étiologique différentiel.
Quelques études ont évalué de façon spécifique la vision des couleurs, notamment au moyen d'un test de Lanthony. Certaines ont mis en évidence une augmentation significative de l'indice de confusion des couleurs chez les sujets exposés au tétrachloroéthylène dans des pressings. Ces résultats obtenus sur un faible nombre de salariés, avec un test très sensible pour lequel de nombreux facteurs de confusion existent, n'ont pas été confirmés par d'autres études [28, 29].
Effets génotoxiques [30]
La fréquence des échanges de chromatides sœurs n'est pas augmentée dans les lymphocytes d'un nombre restreint de travailleurs (fumeurs ou non fumeurs) exposés à des concentrations de tétrachloroéthylène en moyenne de 10 ppm [31].
Effets cancérogènes [30, 32]
En 1995, le CIRC a classé le tétrachloroéthylène comme cancérogène probable chez l'Homme (Groupe 2A) en se basant sur les résultats de cinq études de cohorte, dont deux concernaient des sujets exposés uniquement au tétrachloroéthylène, dans une troisième l'exposition était prépondérante et dans les deux dernières, l'exposition aux produits chimiques était plus variée. Une augmentation significative de cancers de l'œsophage ainsi que des tumeurs du col utérin et des lymphomes non-hodgkiniens est notée selon les études.
L'une des études publiées aux USA et impliquant du personnel de nettoyage à sec a été actualisée en 2001. Avec les nouveaux cas, plusieurs sites de cancers apparaissent significativement augmentés : langue, œsophage, intestin (sauf rectum), vessie, poumons et col utérin [33].
Enfin, une étude publiée en 2006 sur des salariés du nettoyage à sec exposés au tétrachloroéthylène entre 1960 et 1990 dans les pays nordiques n'a montré qu'une augmentation significative des cancers de la vessie [34].
Actuellement, une augmentation du risque de cancers de l'œsophage et du col utérin est notée dans les études concernant les salariés du nettoyage à sec, une augmentation des tumeurs rénales ne peut être éliminée, les lymphomes non-hodgkiniens ne sont, quant à eux, pas augmentés de façon significative. Toutefois, les facteurs de confusion (tabac, alcool, facteurs psychosociaux) n'ont pas été pris en compte de façon systématique dans ces études. Il en est de même pour l'intensité de l'exposition et des co-expositions, ce qui limite la signification de ces résultats.
Effets sur la reproduction [35, 36]
Cinq études ont été consacrées au risque d'avortement chez les salariées de blanchisseries et d'entreprises de nettoyage à sec où le tétrachloroéthylène est le principal polluant chimique mais où d'autres nuisances sont également retrouvées (port de charges, chaleur, postures...). Deux de ces études sont négatives, alors que les trois autres réalisées dans les pays nordiques et en Angleterre montrent un risque faible mais significatif de fausses couches dans ces professions. Le rôle spécifique du tétrachloroéthylène dans ces pathologies ne peut être évalué.
II n'y a pas d'excès de malformations décrit chez des femmes ayant été exposées au tétrachloroéthylène durant leur grossesse.
Une observation indique que le tétrachloroéthylène passe dans le lait maternel et peut intoxiquer un nourrisson allaité.
Cohérence des réponses biologiques chez l'Homme et l'animal