Pathologie - Toxicologie
Le n-hexane est le plus nocif des hydrocarbures saturés en C6. Les propriétés toxicologiques de l’hexane commercial peuvent ainsi varier de manière significative en fonction de sa teneur en n-hexane. Les données expérimentales publiées se réfèrent en général au n-hexane pur (pureté supérieure à 95 %) ou à des mélanges dont la teneur en n-hexane est connue. En revanche, les observations chez l’Homme font souvent suite à des expositions à des mélanges commerciaux de composition mal définie.
-
Toxicocinétique - Métabolisme [6]
Chez l'animal comme chez l'Homme, le n-hexane est absorbé essentiellement par les poumons (jusqu’à 25 %), distribué largement dans l’organisme, métabolisé au niveau du foie et éliminé sous forme inchangée dans l’air expiré, ou sous forme de métabolites dans les urines.
Chez l'animal
Absorption
Aucune donnée quantitative n’est disponible chez l’animal mais la présence de métabolites urinaires et de n-hexane dans l’air exhalé traduit son absorption par voie orale et respiratoire.
Distribution
La distribution corporelle du n-hexane est régie par sa forte lipophilie. Il est retrouvé dans le foie, les reins et le cerveau [21]. La concentration sanguine en n-hexane atteint un plateau dans les 2 heures suivant une exposition par inhalation (10000 ppm pendant 6 heures, rat).
Chez le rat, il traverse la barrière placentaire et se distribue dans le fœtus sans site préférentiel.
Métabolisme
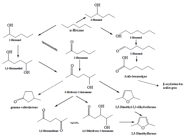
Le n-hexane est métabolisé principalement dans le foie, notamment par le système enzymatique des oxygénases à cytochrome P450, selon le schéma de la figure 1 (voir le schéma métabolique), en un certain nombre de composés alcooliques et cétoniques. L’oxydation en position 1 et 3 conduit à une détoxication ; en revanche, l’oxydation en position 2 génère quant à elle un métabolite toxique (bioactivation). Lorsque les concentrations inhalées dépassent 300 ppm pendant 8 heures, une saturation du métabolisme est observée chez le rat [6].
Certaines études suggèrent que la détection de 2,5-hexanedione, de 2,5-diméthylfurane et de gamma-valérolactone dans les urines serait un artéfact de mesure lié à la méthode utilisée, notamment en raison de l’hydrolyse acide [22].
Schéma métabolique

Figure 1. Métabolisme du n-hexane [21]
Excrétion
L’excrétion pulmonaire de n-hexane reflète la saturation métabolique hépatique.
Le métabolite urinaire majeur est le 2-hexanol (60-70 % des métabolites urinaires excrétés), suivi de la 4,5-dihydroxy-2-hexanone et de la 2-hexanone, dans les 8 premières heures d’exposition [23].
Chez l'Homme
Absorption
Le n-hexane est surtout absorbé par voie respiratoire mais aussi par ingestion et passage cutané.
Aucune étude n’a été menée chez l’Homme par ingestion mais la présence de n-hexane dans l’air expiré ou de métabolites dans les urines de volontaires, ayant été exposés à 0,24 ou 0,8 mg/kg de n-hexane (administration par sonde nasogastrique), confirme son absorption par cette voie [24].
Entre 20 et 25 % de l’hexane inhalé est absorbé par les poumons, chez des volontaires exposés à 100 et 200 ppm pendant 4 heures, ce taux d’absorption augmentant lors d’une activité physique légère. Sa concentra tion sanguine atteint un plateau au cours des 100 premières minutes, puis reste stable jusqu’à la fin de l’exposition [25].
Aucune donnée n’est disponible permettant de quantifier l’absorption cutanée du liquide chez l’Homme ; par contre, une étude menée chez des volontaires a mis en évidence le fait que l’absorption cutanée de vapeurs représente moins de 0,1 % de la quantité totale absorbée [6]. Un flux de 0,83 μg.cm2/h a été déterminé ex vivo sur de la peau humaine (application de n-hexane radiomarqué dans du sérum humain sur la peau, mesure après 30 minutes ou 12 heures) [26].
Distribution
Comme chez l’animal, le n-hexane est distribué dans tout l’organisme, de manière préférentielle dans les tissus adipeux puis foie, cerveau, muscle > rein > coeur > poumons par affinité décroissante [27]. Le n-hexane traverse la barrière placentaire [6].
Métabolisme
Comme chez les rongeurs, le n-hexane est métabolisé dans le foie notamment via les cytochromes P450 : chez l’Homme, le métabolite urinaire majeur est la 2,5-hexanedione [6]. Pour des concentrations inhalées inférieures à 200 ppm pendant 4 heures, aucune saturation du métabolisme hépatique n’est rapportée [6]. Les métabolites sanguins apparaissent entre 16 et 20 minutes après le début de l’exposition.
Excrétion
Une partie du n-hexane absorbé (jusqu’à 20 % [28]) est éliminée inchangée dans l’air expiré ; cette élimi nation est rapide et biphasique avec des demi-vies dans le sang de 11 minutes et 99 minutes [29]. Le reste est excrété dans l’urine sous forme de métabolites, majoritairement la 2,5-hexanedione, suivie du 2-hexanol et de la 4,5-dihydroxy-2-hexanone.
Suite à une exposition par inhalation, la demi-vie d’élimination urinaire des métabolites est de 13-14 heures. La concentration urinaire augmente en cours de poste et reste élevée jusqu’au lendemain matin. Une forte corrélation a été montrée entre le n-hexane dans l’air expiré et la concentration urinaire de 2,5-hexanedione en fin de poste : 3 mg/g de créatinine correspondent à une exposition à 50 ppm pendant 8 heures [30, 31].
Surveillance Biologique de l'exposition [32]
Le dosage de la 2,5-hexanedione libre ou totale dans les urines en fin de poste et fin de semaine de travail, métabolite toxique responsable des effets neurologiques périphériques (polyneuropathie) du n-hexane, est à privilégier pour la surveillance biologique de l’exposition au n-hexane. Il est bien corrélé à l'intensité de l'exposition.
Des valeurs biologiques d’interprétation établies pour les travailleurs sont disponibles pour cet indicateur.
Interférences métaboliques [33]
Dans le cas d'une exposition aiguë, une co-exposition avec du toluène ou de la méthyléthylcétone inhibe le métabolisme de l’hexane et la formation de 2,5-hexanedione.
Toxicité expérimentaleToxicité aiguë [21]
La toxicité aiguë du n-hexane est relativement faible ; c’est un dépresseur du système nerveux central et un irritant respiratoire et cutané. Il est légèrement irritant pour les yeux.
Chez le rat, la toxicité orale est relativement faible : le n-hexane entraîne une salivation excessive et une dépression du système nerveux central. Les DL50 sont de 15840 mg/kg pour les rats jeunes (âgés de 14 jours) et 28700 mg/kg pour les rats adultes (âgés de 12 mois). Par ailleurs, il existe un risque d’aspiration du liquide dans les poumons : l’aspiration de 0,2 mL est létale en quelques secondes par arrêt cardiaque, paralysie respiratoire et asphyxie.
L’inhalation de fortes concentrations de n-hexane (2000 à 8000 ppm pendant 8 heures) provoque, pendant l’exposition chez le rat, des signes de dépression du système nerveux central (sédation, hypothermie, paralysie des paupières) et une irritation du système respiratoire, réversibles après l’exposition. A partir de 48000 ppm, des crampes et une paralysie totale surviennent. Chez la souris, l’exposition à 32000 ppm pendant 30 à 60 minutes déclenche une anesthésie profonde et une exposition de 34000 à 42000 ppm, un arrêt respiratoire dans les 4 à 5 minutes. La CL50 4 heures chez le rat est de 73680 ppm.
Une application cutanée d’hexane commercial (1320 - 3300 mg/kg, n-hexane à 45 %, 4 heures sous occlusion) perturbe le comportement et la coordination des lapins exposés, mais sans entraîner la mort (DL50 > 3300 mg/kg) [1].
Irritation, sensibilisation
L’application cutanée unique de 0,5 mL de n-hexane pendant 24 heures sous occlusion provoque une légère irritation sur la peau de lapin. Cette réaction devient plus sévère en cas d’applications répétées (10 jours de suite).
L’instillation dans l’œil de lapin de 0,1 mL du produit pur ou de qualité commerciale n’entraîne qu’une légère irritation (rougeur de la conjonctive réversible en 24 heures) [7].
L’exposition aux vapeurs de n-hexane supérieures à 1500 ppm entraîne une irritation des yeux et des voies respiratoires supérieures [6].
Un test de stimulation locale des ganglions lymphatiques chez la souris (LLNA) est négatif [34].
Toxicité subchronique, chronique [28, 35]
L’exposition répétée ou à long terme au n-hexane induit une neuropathie périphérique, qui peut progresser vers la paralysie et éventuellement une quadriplégie, une irritation respiratoire, des atteintes cardiaques et pulmonaires.
Par voie orale, des rats mâles ont été exposés à 568-1135 ou 3973 mg/kg pc/j de n-hexane (gavage, 5 j/sem, 90 à 120 jours). Une diminution significative du gain de poids a été mesurée chez les animaux exposés à 1135 et 3973 mg/kg pc/j. A la plus forte dose, les animaux présentaient de plus une dilatation multifocale des axones et des atteintes de la myéline, une paralysie des membres postérieurs après 100 jours d’exposition [36]. Dans une autre étude, des rats ont été exposés à 40-200-1000 ou 5000 mg/kg pc/j de n-hexane (gavage, 13 semaines). A partir de 200 mg/kg pc/j, les animaux présentaient une augmentation des poids relatifs des reins et du foie, ainsi qu’une augmentation des taux de cholestérol et de triglycérides ; à la plus forte dose, des modifications histopathologiques (non détaillées) ont été observées au niveau du foie et des reins, des glandes surrénales, de la rate, des testicules, du thymus et des nerfs périphériques. A partir de ces résultats, une NOAEL autour de 1000-1135 mg/kg pc/j a été déterminée pour les effets neurologiques chez le rat.
Des effets cardiaques ont été rapportés chez le rat, exposé par gavage à 189 mg/kg pc/j pendant 30 jours (réduction du seuil de fibrillation ventriculaire, baisse des taux de magnésium et de potassium dans le myocarde et modifications histopathologiques du cœur). Récemment, différentes atteintes ont été observées au niveau des poumons de rats mâles exposés à 300-600 ou 1200 mg/kg pc/j pendant 8 semaines : à partir de 300 mg/kg pc/j, atteintes hématologiques (augmentation des lymphocytes, des globules blancs, des granulocytes et des éosinophiles), biochimiques (augmentation des taux de malondialdéhyde et baisse du taux de glutathion) et histopathologiques (lésions de type pneumonie interstitielle aiguë puis bronchopneumopathie multifocale et lésions fibronécrotiques), dont la sévérité et l’intensité augmentent avec la dose [37].
Par inhalation, les effets neurotoxiques visibles sont précédés par des modifications histopathologiques des fibres nerveuses. Ainsi, à partir de 200 – 500 ppm (12 h/j, 24 sem), les rats mâles exposés présentaient une dégénérescence des gaines de myéline et des axones, une diminution de la vitesse de conduction nerveuse au niveau des nerfs moteurs et des nerfs mixtes et une diminution de la latence distale. Des rats exposés en continu à 400-600 ppm de n-hexane (pouvant aller jusqu’à 162 jours) ont développé une neuropathie centrale des fibres myélinisées [38]. A partir de 1200 à 3000 ppm (rats mâles, 12 h/j, 16 sem), un gonflement paranodulaire est observé ; la force de préhension des animaux est diminuée ainsi que leur activité motrice et leurs mouvements sont ralentis. La LOAEC pour les effets neurologiques est de 200 ppm chez le rat [39].
Au cours d'une étude de 13 semaines réalisée sur des souris, des gonflements paranodulaires du nerf tibial ont été observés chez les 2 sexes, ainsi qu’une diminution de l'activité motrice chez les femelles à 10000 ppm [40].
Selon la sévérité de la lésion, les effets neurotoxiques peuvent être réversibles ; ils sont augmentés en présence de méthyléthylcétone, de méthylisobutylcétone ou de composés du plomb, et diminués en cas d’exposition simultanée au toluène. La 2,5-hexanedione serait responsable de la neurotoxicité induite en se liant aux groupements ɛ-aminés de la lysine des protéines. La neurotoxicité, observée lors d’expositions continues, est peu présente lors d’expositions intermittentes.
On observe également une irritation du tractus respiratoire supérieur chez la souris (500 ppm, 6 h/j, 5 j/sem, 13 sem) et une atteinte pulmonaire, légère chez le rat mâle (dégénérescence graisseuse de l’épithélium alvéolaire, 500 ppm, 8 h/j, 48-70 j), sévère chez le lapin mâle (emphysème, fibrose ; 3 000 ppm, 8 h/j, 5 j/sem, 24 sem ; [41]).
Effets génotoxiques [21]
La majorité des tests in vitro réalisés avec le n-hexane sont négatifs. In vivo, suite à des expositions par inhalation chez le rat, le n-hexane induit des aberrations chromosomiques et des anomalies spermatiques.
In vitro
Les résultats des différents tests in vitro disponibles sont présentés dans le tableau ci-dessous.
Test
Souche ou lignée
Résultats
Référence
Mutation bactérienne
- S. typhimurium, B. subtilis, E. coli
- Négatif +/- activation métabolique
- [40]
Mutation cellules de mammifères
- Cellules de lymphome de souris
- 200 µg / plaque : négatif +/- activation métabolique
- 500 µg/plaque : légère augmentation des mutations en l’absence d’activation métabolique
- [28]
Aberrations chromosomiques
- Cellules ovariennes de hamster chinois (CHO)
- Fibroblastes de hamster chinois
- Négatif +/- activation métabolique
- Augmentation de la polyploïdie, sans activation métabolique
- [40]
- [42]
Echange de chromatides soeurs
- Cellules ovariennes de hamster chinois (CHO)
- Positif uniquement avec activation métabolique (mais sans lien avec la dose)
- [40]
In vivo
Les résultats des différents tests in vivo disponibles sont présentés dans le tableau ci-dessous.
Test
Souche ou lignée / espèce
Résultats
Référence
Essai de létalité dominante - Souris (0-100-400 ppm, 6 h/j, 5 j/sem, 8 sem)
- Souris (0-200-1000-5000 ppm, 20 h/j, 5 sem)
- Négatif
- Negatif
- [21]
- [43]
Mutagénicité cellules germinales - Rat (0-5000 ppm, 16 h/j, 2 à 8 jours)
- Souris (0-200-1000-5000 ppm, 20 h/j, 5 jours)
- Anomalies spermatiques présentes
- Pas d’anomalie spermatique
- [44]
- [45]
Échanges de chromatides sœurs - Souris (injection ip, 0-500-1000-2000 mg/kg), cellules de moelle osseuse
- Négatif
- [40]
Aberrations chromosomiques - Rats (0-150-300-600 ppm, 6 h/j, 5j), cellules de moelle osseuse
- Rats (0-100-400 ppm, 6 h/j, 5 j/sem, 4 sem), cellules de moelle osseuse
- Souris (injection ip, 500-1000-2000 mg/kg), cellules de moelle osseuse
- Positif
- Positif
- Négatif
- [46]
- [35]
- [40]
Micronoyaux - Souris (0-1000-4000-10000 ppm, 6 h/j, 5 j/sem, 13 sem), érythrocytes
- Souris (injection ip, 500-1000-2000 mg/kg), érythrocytes
- Négatif
- Négatif
- [40]
- [40]
Effets cancérogènes
Chez le rat et la souris, le n-hexane ne présente pas d'effets cancérogènes lorsqu'il est inhalé ; chez la souris femelle, une augmentation de l’incidence des tumeurs hépatiques est rapportée à la plus forte concentration.
Une exposition de 2 ans par inhalation (hexane commercial, 52,2 % de n-hexane, 0-900-3000-9000 ppm, 6 h/j, 5 j/sem.) induit, chez le rat, une hyperplasie épithéliale nasale due à l’irritation et, chez la souris femelle, une augmentation des adénomes et carcinomes hépatocellulaires à la plus forte concentration [47]. Ces résultats sont difficiles à interpréter puisqu'il s'agit d'un hexane commercial contenant d'autres composants.
Par voie cutanée, il n’est pas tumorigène chez la souris en présence d’huile de croton, ni promoteur après induction avec du diméthylbenz[a]anthracène [48].
Effets sur la reproduction
Le n-hexane est toxique pour les cellules germinales du rat mâle et de la souris femelle, embryotoxique et fœtotoxique mais pas tératogène.
Fertilité
Par voie orale, une atrophie de l’épithélium germinal testiculaire est observée à la plus forte dose testée (rat, gavage, 570-1140-4000 mg/kg pc/j, 5 j/sem, 90 jours) [36]. Aucun effet sur le sperme ou les testicules n’est rapporté à la suite d’une exposition à 10000 mg/kg pc/j pendant 5 jours ou 20000 mg/kg pc pendant un jour seulement [49].
Des souris femelles ont été exposées par inhalation à 0-3-15,1-75,8 ppm de n-hexane pendant 5 semaines (4 h/j, 7 j/sem). A la plus forte concentration, les animaux ont perdu du poids, ils sont léthargiques, sans appétit et présentent des ulcères et une rhabdomyolyse au niveau de l’abdomen. A la plus forte concentration, l’œstrus est modifié (notamment, une diminution de la durée du diœstrus) et le développement folliculaire est perturbé (diminution du nombre de follicules matures dans les ovaires et augmentation du nombre de follicules dégénérescents). Pour toutes les femelles exposées, le nombre d’ovules fécondés et le taux sérique de progestérone sont diminués par rapport aux témoins [50].
Chez le rat mâle, l’exposition par inhalation (5000 ppm, 24h ou 16 h/j pendant 2 à 8 jours ou 16 h/j, 6 j/sem pendant 6 semaines) provoque des lésions testiculaires, au niveau de l’épithélium germinatif après 24 heures seulement (spermatocytes primaires et spermatides matures), qui augmentent avec la concentration ; les lésions progressent après arrêt de l’exposition jusqu’à une disparition complète des cellules germinales dans les tubes séminifères. Les effets testiculaires apparaissent avant les effets neurologiques (polyneuropathie observée après 4 semaines de traitement, dans le 3è groupe) ; ils sont réversibles après une exposition unique et irréversibles pour les expositions répétées [44]. Une atrophie des tubes séminifères et une diminution du poids des testicules sont rapportées chez des rats 10 mois après avoir été exposés à 1000 ppm (18 h/j, 7 j/sem, pendant 61 jours) ; 14 mois après l’exposition, une perte totale de cellules germinales est observée chez quelques rats [51].
A contrario, aucun effet n’est observé au niveau des organes reproducteurs de rats mâles et femelles (0-3000-6500-10000 ppm, 6 h/j, 5 j/sem, 13 semaines) (Cavender et al 1984) ou de souris (0-500-1000-4000-10000 ppm, 6h/j, 5 j/sem, 13 semaines) (Dunnick et al 1989 dans [40]).
Au cours d’une étude sur 2 générations menée avec du n-hexane commercial (rat, 900-3000-9000 ppm, 6 h/j, 5 j/sem), aucun effet sur la fertilité n’est rapporté (rapport industriel dans [3]). Il n’y a pas d’effet sur la fertilité chez la souris mâle lors d’un test de létalité dominante à la concentration de 100 ou 400 ppm, 6 h/j, 5 j/sem., 8 sem (Litton Bionetics 1980 dans [6]).
Développement
Par voie orale, chez la souris, seule une diminution du poids fœtal est rapportée aux concentrations toxiques pour les mères (7900 et 9900 mg/kg pc/j, 3 fois/j, du 6e au 15e jour de gestation) [52].
Lorsqu’il est administré par voie respiratoire, le n-hexane provoque un retard de croissance chez le rat et la souris. Suite à une exposition à 0-200-1000 ou 5000 ppm de n-hexane (20 h/j, du 6e au 19e jour de gestation), aucun effet n'est rapporté sur le nombre d’implantations, le sexe ratio et le pourcentage de nouveau-nés vivants ou de résorptions par portée. Une diminution du poids fœtal est rapportée chez les mâles aux 2 plus fortes concentrations et chez les femelles, seulement à 5000 ppm. Un retard d’ossification est observé à 5000 ppm, concentration entraînant une diminution du gain de poids des mères. Aucune malformation n’est constatée. A partir de ces résultats, la NOAEC pour le développement est de 200 ppm chez le rat [53].
Chez la souris, une diminution du poids fœtal et une baisse du nombre de fœtus vivants par portée sont observées uniquement à la plus forte concentration testée, en présence de toxicité maternelle (5000 ppm, 20 h/j, du 6e au 17e jour de gestation) : à partir de ces résultats, la NOAEC est de 1000 ppm [45]. Une augmentation des résorptions a pu être observée mais seulement à 200 ppm [54].
Chez des ratons, exposés in utero (0-800-1000 ppm, 23 h/j, 7 j/sem, du 1er au 21e jour de gestation) et pendant la période postnatale (jusqu’au 21e jour postnatal), une diminution du poids des nouveau-nés est observée ainsi qu’un retard dans le développement du cortex cérébelleux. A ces 2 doses, les mères présentaient une neurotoxicité [55].
Toxicité sur l’HommeL'hexane peut provoquer des signes de dépression du système nerveux central. Il est irritant pour les muqueuses oculaire et respiratoire. En cas d'exposition répétée, les intoxications les plus graves sont le fait du n-hexane. Elles se traduisent principalement par des atteintes du système nerveux, en particulier des polynévrites périphériques sensitivo-motrices. Des troubles mentaux organiques sont également décrits. Les effets génotoxiques ne sont pas documentés. Les données sur les effets cancérogènes et sur la reproduction ne permettent pas de conclure.
Toxicité aiguë [3, 4, 21, 28, 56]
À forte concentration (en général supérieure à 1000 ppm), les vapeurs d’hexane agissent sur le système nerveux central provoquant d’abord un état euphorique avec sensation d’ébriété puis une somnolence avec céphalées, vertiges et nausées. La toxicité neurologique du n-hexane peut être potentialisée par la co-exposition à certains solvants, notamment la méthyléthylcétone. On note en plus une irritation des yeux et des muqueuses respiratoires.
En cas d’ingestion avec inhalation bronchique du solvant, une pneumopathie peut survenir avec détresse respiratoire.
Toxicité chronique [4, 21, 28, 56-58]
De nombreux cas de polynévrites périphériques sensitivo-motrices ont été décrits soit chez des toxicomanes, soit dans des secteurs professionnels (collage de chaussures, industrie de l’ameublement, réparation automobile [3, 59]) où les niveaux d’exposition sont élevés.
Ces polynévrites débutent par des troubles sensitifs à type de paresthésies (fourmillement, engourdissement), puis moteurs (faiblesse des jambes et des bras). À un stade plus avancé, il apparaît une atteinte de la motricité prédominant aux membres inférieurs, avec paralysie flasque et atrophie musculaire plus ou moins importante.
Dans les cas les plus sévères, a également été observée une atteinte du système nerveux central qui se traduit par une dysarthrie, une incoordination de la démarche et même des troubles de la vision (œdème de la macula).
Cette symptomatologie correspond, comme chez l’animal, à une dégénérescence des systèmes périphériques et centraux atteignant préférentiellement la portion distale des axones longs et de diamètre important et se traduisant par une diminution de la vitesse de conduction de l’influx nerveux. Les biopsies qui ont été réalisées montrent un aspect caractéristique en bulbe d’oignon des gaines de myéline ainsi qu'une dégénérescence axonale. Des effets électromyographiques discrets ont pu être observés, en dehors de tout signe clinique, pour des expositions d’environ 100 ppm. D’autres examens peuvent également être perturbés comme les potentiels évoqués visuels, sensitifs ou auditifs.
Par ailleurs, des troubles mentaux organiques, principalement neuro-comportementaux et cognitifs, sont décrits chez des sujets exposés à de fortes concentrations de solvants dont l’hexane (seul ou en association).
Dans pratiquement tous les cas, les troubles ont régressé lentement, 1 à 3 ans après la cessation de l’exposition.
Bien que les données soient contradictoires, une association entre l’apparition de la maladie de Parkinson et une exposition professionnelle à des solvants (pouvant inclure le n-hexane) a été proposée [22, 57, 60, 61].
Comme la plupart des solvants, l’hexane peut provoquer des dermatoses d’irritation par contacts répétés ou prolongés.
Effets génotoxiques
Aucune donnée n’est disponible chez l’Homme à la date de mise à jour de cette partie.
Effets cancérogènes [21-23]
En l’état actuel des connaissances, il n’est pas possible d’évaluer le caractère cancérogène du n-hexane. Aucune étude en faveur d’une cancérogénicité liée à la seule utilisation du n-hexane n’a été identifiée.
Effets sur la reproduction [4, 21, 22, 62]
Une étude réalisée sur près de 200 femmes travaillant dans une fabrique de chaussures et exposées à des solvants (dont le n-hexane) a révélé un temps de conception augmenté par rapport aux femmes non exposées. La responsabilité du n-hexane ne peut être évaluée en raison des co-expositions [63].
Un étude plus récente réalisée sur 34 femmes exposées à divers solvants organiques, dont le n-hexane, dans une fabrique de chaussures, a montré des cycles menstruels et des délais de conception plus longs chez les salariées exposées par rapport aux témoins non exposées (personnel administratif). De plus, les concentrations sériques de FSH étaient inversement proportionnelles à l’exposition au n-hexane et aux concentrations urinaires de 2,5-hexanedione. Les limites de cette étude sont le faible nombre de salariées exposées, et la co-exposition à d’autres solvants [64].Le n-hexane peut être retrouvé dans le lait maternel sans que les effets n’aient été étudiés.
Cohérence des réponses biologiques chez l'Homme et l'animal